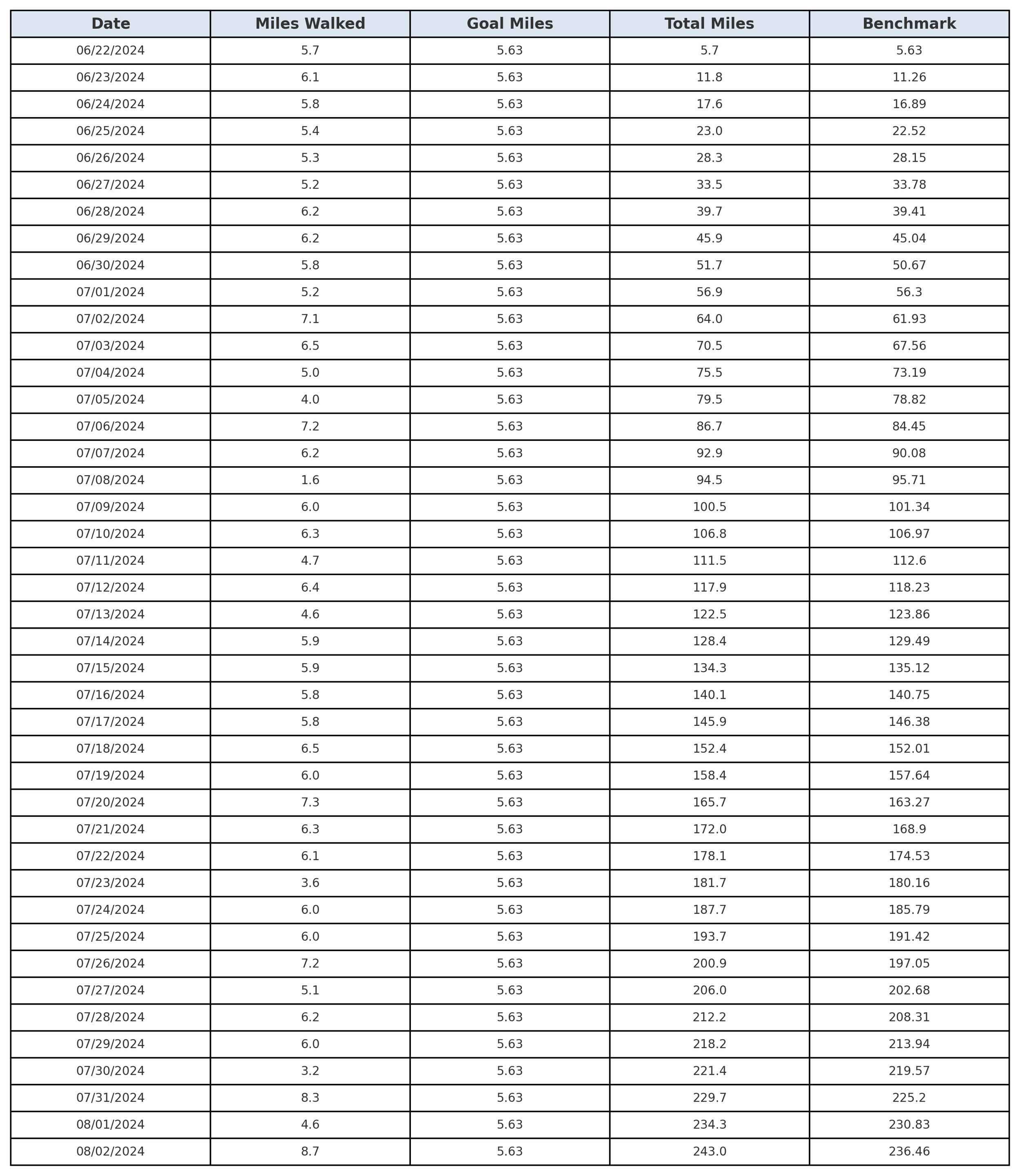
Track My Progress – 721 Miles for Mental Health Awareness

Follow along as we take every step toward our goal of walking 721 miles to raise awareness for mental health and to honor the importance of compassion, understanding, and support. This challenge is more than a number—it’s a symbol of the ongoing journey so many face every day in their own mental health battles.

Here, you can see my day-to-day progress, including total miles walked, benchmark goals, and personal notes from each walk. Each mile represents a conversation started, a stigma challenged, and a reminder that we are never truly alone in our struggles.

I invite you to join me—whether by cheering from the sidelines, sharing this page, creating your own walking challenge, or contributing to 721 Love You. Together, we can turn steps into stories, and stories into hope.

Let’s keep walking, together..

Donate
Start Your Own Walk